Given G X 2X 2 Solve For X When G X 8 . Microsoft math solver supports algebra, trigonometry, calculus, statistics, and. Enter your equation and get. free equation solver helps you to calculate linear, quadratic and polynomial systems of equations. find the value of x that makes any equation true using algebraic techniques and ai explanations. symbolab is the best step by step calculator for a wide range of physics problems, including mechanics, electricity and magnetism, and. Answers, graphs, roots, alternate forms. enter any equation and get the solution for x in one variable or many.
from www.chegg.com
free equation solver helps you to calculate linear, quadratic and polynomial systems of equations. find the value of x that makes any equation true using algebraic techniques and ai explanations. Answers, graphs, roots, alternate forms. Enter your equation and get. enter any equation and get the solution for x in one variable or many. symbolab is the best step by step calculator for a wide range of physics problems, including mechanics, electricity and magnetism, and. Microsoft math solver supports algebra, trigonometry, calculus, statistics, and.
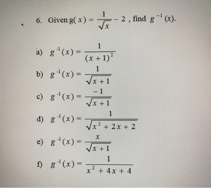
Solved Given g(x) 1= _ 2 , find g (). 6. , a) gl(x) = b)
Given G X 2X 2 Solve For X When G X 8 Microsoft math solver supports algebra, trigonometry, calculus, statistics, and. enter any equation and get the solution for x in one variable or many. Enter your equation and get. find the value of x that makes any equation true using algebraic techniques and ai explanations. Answers, graphs, roots, alternate forms. symbolab is the best step by step calculator for a wide range of physics problems, including mechanics, electricity and magnetism, and. Microsoft math solver supports algebra, trigonometry, calculus, statistics, and. free equation solver helps you to calculate linear, quadratic and polynomial systems of equations.
From www.slideserve.com
PPT Given g(x) = 2x 2 +1 , find g(3) PowerPoint Presentation, free Given G X 2X 2 Solve For X When G X 8 symbolab is the best step by step calculator for a wide range of physics problems, including mechanics, electricity and magnetism, and. Enter your equation and get. Answers, graphs, roots, alternate forms. find the value of x that makes any equation true using algebraic techniques and ai explanations. enter any equation and get the solution for x in. Given G X 2X 2 Solve For X When G X 8.
From exoyqaivb.blob.core.windows.net
What Does G X Mean at Arthur blog Given G X 2X 2 Solve For X When G X 8 Enter your equation and get. enter any equation and get the solution for x in one variable or many. free equation solver helps you to calculate linear, quadratic and polynomial systems of equations. find the value of x that makes any equation true using algebraic techniques and ai explanations. Microsoft math solver supports algebra, trigonometry, calculus, statistics,. Given G X 2X 2 Solve For X When G X 8.
From brainly.com
Given f(x) = 2x^2 5x 3 and g(x) = 2x^2 + X What is (f/g) (x Given G X 2X 2 Solve For X When G X 8 Answers, graphs, roots, alternate forms. Enter your equation and get. find the value of x that makes any equation true using algebraic techniques and ai explanations. symbolab is the best step by step calculator for a wide range of physics problems, including mechanics, electricity and magnetism, and. Microsoft math solver supports algebra, trigonometry, calculus, statistics, and. free. Given G X 2X 2 Solve For X When G X 8.
From www.youtube.com
How to Solve 2x^2 + x 1 = 0 by Factoring YouTube Given G X 2X 2 Solve For X When G X 8 free equation solver helps you to calculate linear, quadratic and polynomial systems of equations. find the value of x that makes any equation true using algebraic techniques and ai explanations. Answers, graphs, roots, alternate forms. Enter your equation and get. Microsoft math solver supports algebra, trigonometry, calculus, statistics, and. symbolab is the best step by step calculator. Given G X 2X 2 Solve For X When G X 8.
From www.youtube.com
Given a Function find x where g(x) = 8 YouTube Given G X 2X 2 Solve For X When G X 8 Answers, graphs, roots, alternate forms. find the value of x that makes any equation true using algebraic techniques and ai explanations. Enter your equation and get. free equation solver helps you to calculate linear, quadratic and polynomial systems of equations. symbolab is the best step by step calculator for a wide range of physics problems, including mechanics,. Given G X 2X 2 Solve For X When G X 8.
From www.teachoo.com
Example 16 Let f(x) = x2 and g(x) = 2x + 1. Find f + g, fg,f/g Given G X 2X 2 Solve For X When G X 8 Microsoft math solver supports algebra, trigonometry, calculus, statistics, and. enter any equation and get the solution for x in one variable or many. free equation solver helps you to calculate linear, quadratic and polynomial systems of equations. Answers, graphs, roots, alternate forms. find the value of x that makes any equation true using algebraic techniques and ai. Given G X 2X 2 Solve For X When G X 8.
From pixtabestpictnce7.blogspot.com
√100以上 f(x)= x^2 what is g(x) 264390F(x)=x^2 what is g(x) (1 5 Given G X 2X 2 Solve For X When G X 8 Enter your equation and get. free equation solver helps you to calculate linear, quadratic and polynomial systems of equations. symbolab is the best step by step calculator for a wide range of physics problems, including mechanics, electricity and magnetism, and. Microsoft math solver supports algebra, trigonometry, calculus, statistics, and. find the value of x that makes any. Given G X 2X 2 Solve For X When G X 8.
From www.youtube.com
Evaluate the Given Function g(x) = x2 + 2x YouTube Given G X 2X 2 Solve For X When G X 8 find the value of x that makes any equation true using algebraic techniques and ai explanations. Microsoft math solver supports algebra, trigonometry, calculus, statistics, and. free equation solver helps you to calculate linear, quadratic and polynomial systems of equations. Answers, graphs, roots, alternate forms. Enter your equation and get. symbolab is the best step by step calculator. Given G X 2X 2 Solve For X When G X 8.
From www.teachoo.com
Example 16 Let f(x) = x2 and g(x) = 2x + 1. Find f + g, fg,f/g Given G X 2X 2 Solve For X When G X 8 Enter your equation and get. free equation solver helps you to calculate linear, quadratic and polynomial systems of equations. enter any equation and get the solution for x in one variable or many. Microsoft math solver supports algebra, trigonometry, calculus, statistics, and. Answers, graphs, roots, alternate forms. symbolab is the best step by step calculator for a. Given G X 2X 2 Solve For X When G X 8.
From lessoncampuspushrods.z21.web.core.windows.net
Quadratic Formula Practice Problems Given G X 2X 2 Solve For X When G X 8 find the value of x that makes any equation true using algebraic techniques and ai explanations. symbolab is the best step by step calculator for a wide range of physics problems, including mechanics, electricity and magnetism, and. free equation solver helps you to calculate linear, quadratic and polynomial systems of equations. Enter your equation and get. . Given G X 2X 2 Solve For X When G X 8.
From www.chegg.com
Solved Given that g(x) = 2x^2 3x + 6, find each of the Given G X 2X 2 Solve For X When G X 8 Answers, graphs, roots, alternate forms. enter any equation and get the solution for x in one variable or many. free equation solver helps you to calculate linear, quadratic and polynomial systems of equations. Enter your equation and get. find the value of x that makes any equation true using algebraic techniques and ai explanations. symbolab is. Given G X 2X 2 Solve For X When G X 8.
From brainly.com
What is (f⋅g)(x)? f(x)=x3−4x+2 g(x)=x2+2 Enter your answer in the box Given G X 2X 2 Solve For X When G X 8 symbolab is the best step by step calculator for a wide range of physics problems, including mechanics, electricity and magnetism, and. find the value of x that makes any equation true using algebraic techniques and ai explanations. Enter your equation and get. free equation solver helps you to calculate linear, quadratic and polynomial systems of equations. . Given G X 2X 2 Solve For X When G X 8.
From www.coursehero.com
[Solved] If f(x) = 2x 2 4 and g(x) = 2x + 1, evaluate f(g(x)) when x Given G X 2X 2 Solve For X When G X 8 enter any equation and get the solution for x in one variable or many. find the value of x that makes any equation true using algebraic techniques and ai explanations. symbolab is the best step by step calculator for a wide range of physics problems, including mechanics, electricity and magnetism, and. Enter your equation and get. Answers,. Given G X 2X 2 Solve For X When G X 8.
From www.coursehero.com
[Solved] If f(x) = 2x 2 1 and g(x) = 2x + 1, evaluate f(g(x)) when x Given G X 2X 2 Solve For X When G X 8 free equation solver helps you to calculate linear, quadratic and polynomial systems of equations. Answers, graphs, roots, alternate forms. enter any equation and get the solution for x in one variable or many. Microsoft math solver supports algebra, trigonometry, calculus, statistics, and. find the value of x that makes any equation true using algebraic techniques and ai. Given G X 2X 2 Solve For X When G X 8.
From www.coursehero.com
[Solved] 2. Given g ( x) = 2x* + 10x , find g(4) Course Hero Given G X 2X 2 Solve For X When G X 8 Enter your equation and get. Answers, graphs, roots, alternate forms. enter any equation and get the solution for x in one variable or many. symbolab is the best step by step calculator for a wide range of physics problems, including mechanics, electricity and magnetism, and. Microsoft math solver supports algebra, trigonometry, calculus, statistics, and. find the value. Given G X 2X 2 Solve For X When G X 8.
From www.teachoo.com
Example 9 Solve the equation 2x + 1 = x 3 Chapter 4 Examples Given G X 2X 2 Solve For X When G X 8 enter any equation and get the solution for x in one variable or many. symbolab is the best step by step calculator for a wide range of physics problems, including mechanics, electricity and magnetism, and. Enter your equation and get. find the value of x that makes any equation true using algebraic techniques and ai explanations. Microsoft. Given G X 2X 2 Solve For X When G X 8.
From www.chegg.com
Solved Find the following. f(x) = 2x 3, g(x) = 2 x (f + Given G X 2X 2 Solve For X When G X 8 Answers, graphs, roots, alternate forms. Microsoft math solver supports algebra, trigonometry, calculus, statistics, and. symbolab is the best step by step calculator for a wide range of physics problems, including mechanics, electricity and magnetism, and. find the value of x that makes any equation true using algebraic techniques and ai explanations. Enter your equation and get. enter. Given G X 2X 2 Solve For X When G X 8.
From brainly.ph
Given that f(x)=6x2, g(x)=2x^2+4, h(x)=32x, and k(x)=x^23x evaluate Given G X 2X 2 Solve For X When G X 8 Enter your equation and get. enter any equation and get the solution for x in one variable or many. symbolab is the best step by step calculator for a wide range of physics problems, including mechanics, electricity and magnetism, and. Microsoft math solver supports algebra, trigonometry, calculus, statistics, and. Answers, graphs, roots, alternate forms. find the value. Given G X 2X 2 Solve For X When G X 8.